07 May 2022

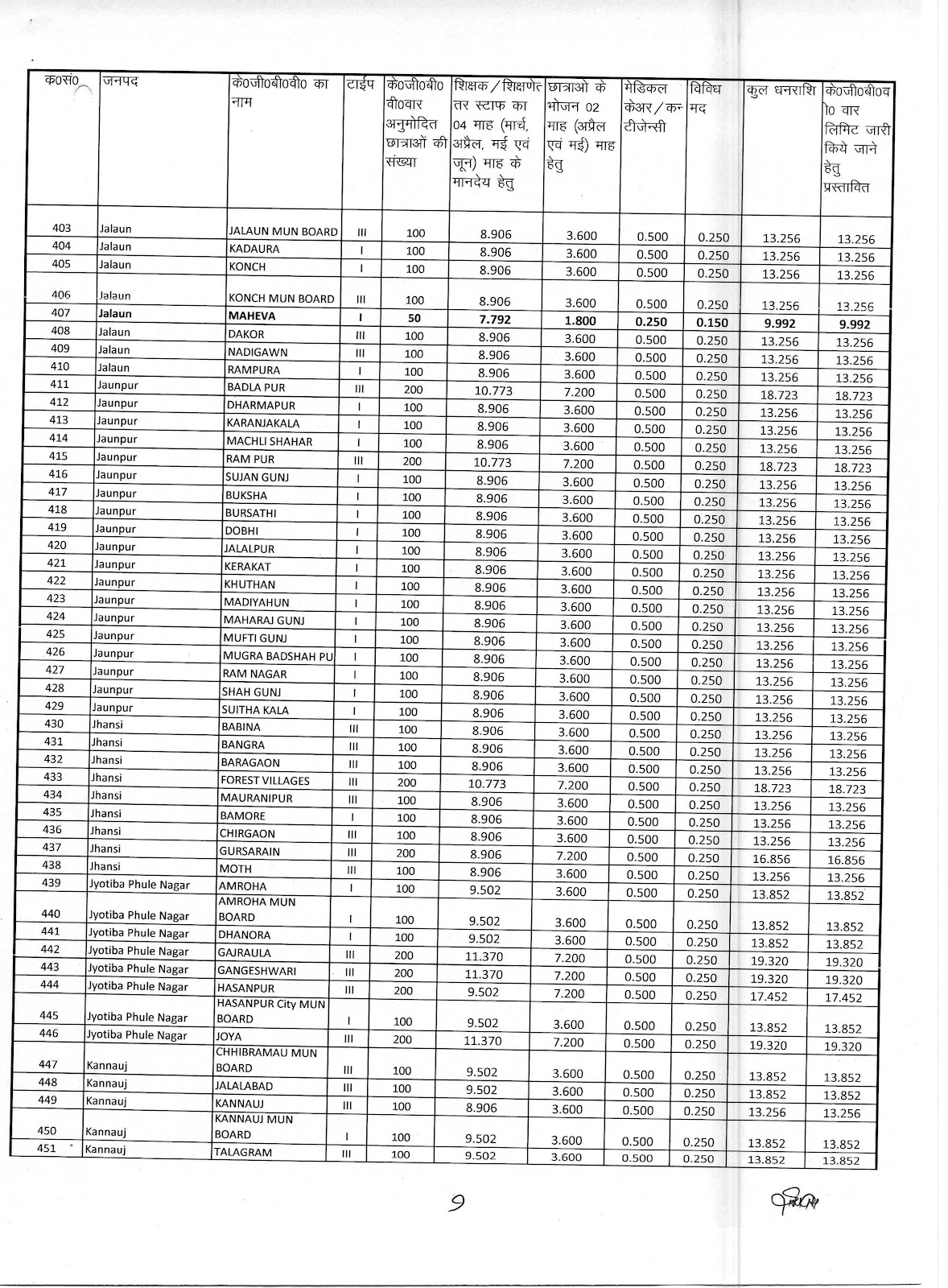
कस्तूरबा गॉधी बालिका विद्यालय योजना में वित्तीय वर्ष 2022-23 में आवश्यक मदों में व्ययो के भुगतान के सम्बन्ध में


Fwd: कस्तूरबा गॉधी बालिका विद्यालय योजना में वित्तीय वर्ष 2022-23 में आवश्यक मदों में व्ययो के भुगतान के सम्बन्ध में