08 August 2024

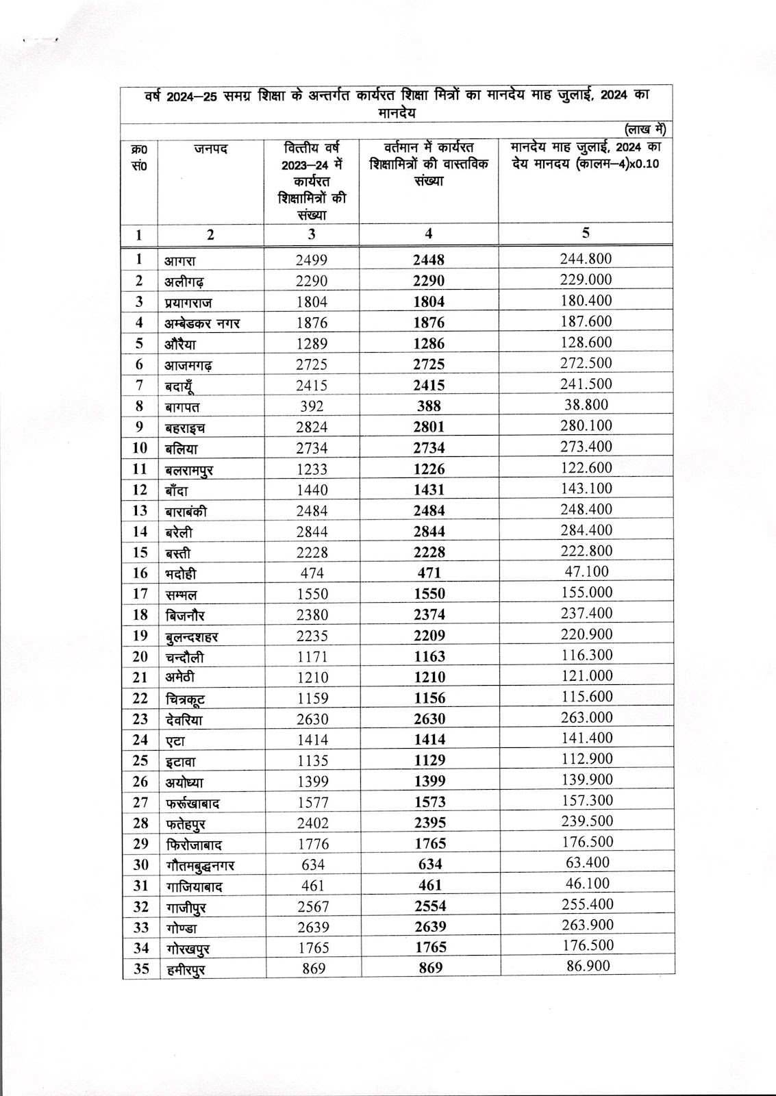
शिक्षामित्र मानदेय माह जुलाई, 2024 की धनराशि प्रेषण के सम्बन्ध में।


शिक्षामित्र मानदेय माह जुलाई, 2024 की धनराशि प्रेषण के सम्बन्ध में।