04 November 2023

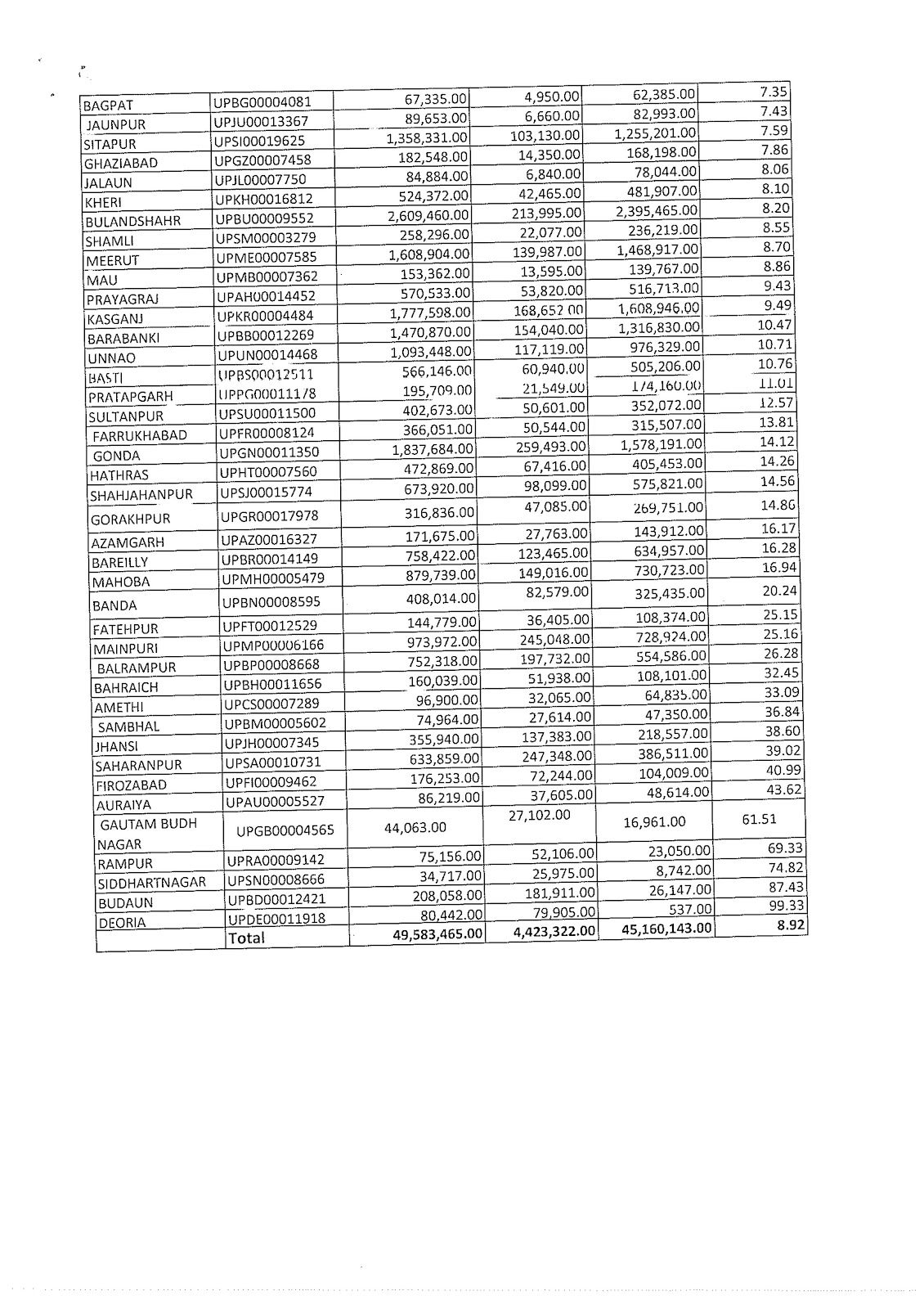
नव भारत साक्षरता कार्यक्रम के अन्तर्गत जनपदों को जारी लिमिट के सापेक्ष धनराशि व्यय करने के संबंध में।


नव भारत साक्षरता कार्यक्रम के अन्तर्गत जनपदों को जारी लिमिट के सापेक्ष धनराशि व्यय करने के संबंध में।