10 July 2022

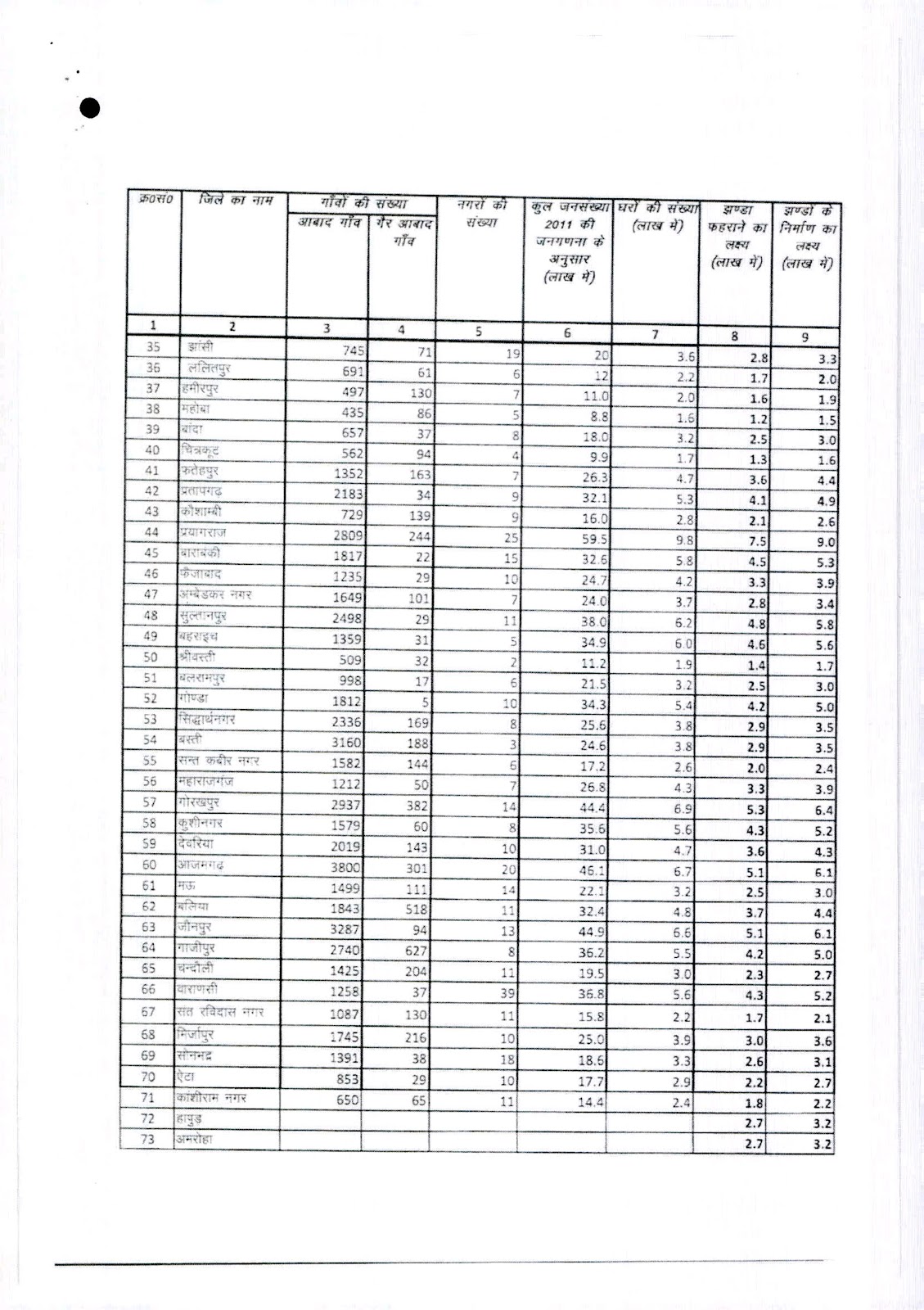
आजादी अमृत महोत्सव के अन्तर्गत हर घर तिरंगा कार्यक्रम के संबध में


आजादी अमृत महोत्सव के अन्तर्गत हर घर तिरंगा कार्यक्रम के संबध में